In The US, Maximus Refuse Treatment As Well As Benefits
Readers, yesterday, high profile disability campaigner and friend of Same Difference, Sue Marsh, announced on her blog that she has accepted a new job with Maximus, the soon-to-be providers of the WCA.
Readers, from the reactions to this news that I saw on Facebook and Twitter yesterday, few of you are going to be happy to read what comes next.
But, in the spirit of Charlie Hebdo and with the professional values of journalism firmly in my mind, I will make no secret of my personal opinion on Sue Marsh’s new job.
Readers, I am happy for Sue Marsh.
Now before you all rush to unfollow me, please listen to why.
Readers, of course Same Difference is a place for you all to discuss your lives and experiences. But by you telling each other and me your experiences and problems, I feel, we will change very little.
In order to change what is wrong or bad about our lives (and there is a lot to change!) we must get the mainstream to listen to us.
Whether that is my mum reading one of my posts and starting to think about an aspect of my life that had never crossed her mind before, or a mainstream media organisation giving coverage to a disability issue, or Maximus giving Sue Marsh a job, I like to see it all as the same thing- them starting to try to listen to us. And once they start to listen, I hope that they with their power will help us to make changes.
Readers, I know we have felt sold out and betrayed in the past when disabled people or carers have entered positions of power. Think David Cameron and Paul Maynard. And readers, both those times, by both of those people, I have felt betrayed right there with you.
But readers, the difference that I see is this: we knew Sue Marsh before she entered this position of power. We have direct access to Sue Marsh now and if we keep direct access to Sue Marsh, we can help her do her new job well and represent our opinions and ideas to Maximus. And readers, because we knew her before, if she does go wrong and do a Paul Maynard, we can form a queue to break her wheelchair! And believe me, readers, I’ll be first in that queue.
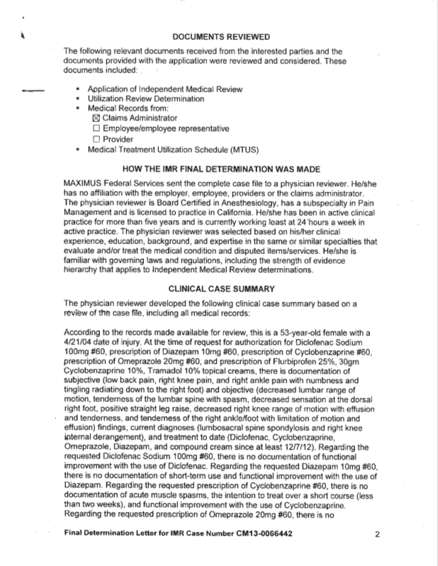
So back to the original point of this post, readers. This morning I found, on DPAC’s blog, a letter from Maximus about a US employee in which Maximus had decided that her medication was not medically necessary.
With thanks to DPAC, the letter is below:
DPAC ask in their article: Will Maximus be allowed to behave in the same way in the UK?
Readers, of course I hope not.
Readers, I hope that if they start to try, Sue Marsh will do everything in her power to stop them.










its funny realy sd sad also she is the new nazerath risen from her bed to take up a puppet position in this company sadly the only thing she,l get to do is her to hear anguish souls crying out but changing maximus if the yanks couldnt whot good is this woman nay im afraid now we see more bashing the sick has dangling that carrot has made sue a nazerath creature who will see whot a mess she made of it by going there jeff3
LikeLike
I agree that Sue Marsh has become a ‘lazarus’ in as much as: she was too ill for anything and claiming benefits then all of a sudden an offer of an 70-80k job and she’s miraculously cured and able to work full time.
LikeLike
FFS, kids, she went in to hospital again recently for one procedure, had a different one (as I understand it) and came out a new woman, against all reasonable expectations. Does no-one actually know the woman they’re proclaiming judgement against? It seems not….
LikeLike
But wasn’t she ‘cured’ by MAXIMUS & now not only fit for work, she can work full time too.
LikeLike
Reblogged this on Lindas Blog and commented:
Since when were Maximus/Unim Mainstream???? They are employees of the DWP for Petes sake. They are Contractually obligated to adhere to their policies.
When did painting over the cracks in a house with Rotten Foundations ever achieve positive change? All it does is create a new ‘Mask’, an illusion of change. Do you really believe that is a helpful and positive thing to do?
I find your words patronising and rather condescending to be honest. words such as.
“Readers, of course Same Difference is a place for you all to discuss your lives and experiences. But by you telling each other and me your experiences and problems, I feel, we will change very little”.
Your readers discussions don’t just remain on ‘Same difference’, they are passed around by many dedicated bloggers, in order to highlight the injustices etc and to inform more people in Mainstream who are unaware of the issues.
Your words speak as if you are speaking to a group of ‘unintelligent children’ which I find remarkably naive?
What is your purpose here is the question which springs to mind?
LikeLike
Since when were Maximus/Unim Mainstream???? They are employees of the DWP for Petes sake. They are Contractually obligated to adhere to their policies.
When did painting over the cracks in a house with Rotten Foundations ever achieve positive change? All it does is create a new ‘Mask’, an illusion of change. Do you really believe that is a helpful and positive thing to do?
I find your words patronising and rather condescending to be honest. words such as.
“Readers, of course Same Difference is a place for you all to discuss your lives and experiences. But by you telling each other and me your experiences and problems, I feel, we will change very little”.
Your readers discussions don’t just remain on ‘Same difference’, they are passed around by many dedicated bloggers, in order to highlight the injustices etc and to inform more people in Mainstream who are unaware of the issues.
Your words speak as if you are speaking to a group of ‘unintelligent children’ which I find remarkably naive?
What is your purpose here is the question which springs to mind?
LikeLike
By ‘mainstream’ in this context I mean ‘non disabled.’ So Maximus/Unum are an organisation of non disabled people.
The purpose of this post is to show support for Sue Marsh, express a personal opinion, explain my support for Sue Marsh and publicise the letter.
LikeLike
It is your right to support who you wish, nonetheless: I do not support Sue Marsh in her actions and I truly think she will pay for her them i.e. her supporters will abandon her & MAXIMUS will chew her up & spit her out.
Let’s be under no illusion here, her decision to take the job was purely monetary, because Maximus aren’t going to have ‘a road to Damascus conversion’ & take notice of what she says. She is at most a puppet PR advisor.
LikeLike
Reblogged this on Britain Isn't Eating.
LikeLike
Reblogged this on sdbast.
LikeLike
I’m thinking neither Sue nor this blogger understand the body corporate. Anyway, Sue’s gone now from activism, let’s let her be and look elsewhere.
LikeLike
Unfollowed…
LikeLike
i for one wish sue well and as i have first-hand knowledge of how governments work and with my family having worked in the establishment since 1918 Sue’s job is going to be one hell of a challenge and for her to have even coincided this position is a truly remarkable achievement
I myself have suffered many years with sues type of illness and although never as bad as her condition we both have the same end results in being very fragile to say the least
I myself could never work not even for all the money in the world and my gut feeling is Sue is the same she feels the need to be on the inside and fighting our corner because without her and I’m being very frank now in that if the conservatives win the next election the chances of the likes of myself remaining alive would be very difficult and the same will apply to the all of the long term ill and disabled
We have all seen over the past few years many hundreds of negligent sick and disabled deaths by the DWP and the government so far has been able to sweep these deaths under the carpet and this will only get worse should they remain in power as there overall agenda with all of their new policy’s will turn this country into a police type of state of which will have never seen before
So I say it’s far better to have sue fighting our corner from the inside then to be like myself on the outside shouting my mouth off of which no one will listen
As for her salary, she herself will never get any benefit from it as her type of illness like mine is ultimately never going away so therefore money is completely useless to her only her family will benefit and rightly so as they have all had such a hard life until now her children and husband they sure deserve it
god bless sue and good luck is what we all should be saying as the welfare of the sick and disabled long term will ultimately depend on you and only you
LikeLike
How naive you are. Sue Marsh has been bought by Maximus – she will have no positive role at all. She’s always been out for herself.
LikeLike
I know what you are thinking but as far as bosses and companies go and has far as Kings and Kingdoms, the reason they take you on is that stops you being a threat to them. Before Sue had nothing to lose, now she has a job and a security. Maybe she can continue to do good, but don’t be surprized if she disappears into the system, she may have sold her soul, but she may have not, we will see in the future. But good intentions don’t always become action.
LikeLike
Reblogged this on stewilko's Blog and commented:
Hopefully, again I wish Sue Marsh will do everything in her power to stop them.
LikeLike
In her position, I suspect she’ll rapidly find out she has no power. In big corporations there’s ways of cutting people out of the loop while keeping them busy. I have no doubt her appointment is purely cosmetic. But she’s worked hard so let’s let her get on with it, eh?
LikeLike
Maximus also recruit Gunyeon
http://disabilitynewsservice.com/2015/01/concern-maximus-recruits-former-dwp-fit-work-boss/
not a great employer are they
LikeLike
Sue Marsh = Judas….we all know what happened to Judas!
LikeLike
I was never taken in by Sue Marsh – a self-serving creature if ever there was one. She will not change Maximus for the good – they are in the business of cutting benefits. No disabled person should have anything more to do with Sue Marsh.
LikeLike